Insert title here
Principle of mirTarPri
- Measurement of functional concordance and network closeness
A critical and basic step in our method was to measure the functional concordance and network closeness between miRNA targets. For each target gene pairs, mirTarPri measured their functional similarity in two ways: functional concordance based on GO and network closeness based on PPI networks [1,2].
In this study the functional concordance (FC) score was based on information content (IC) value. The IC value of term t was calculated using the following equation:
where is the number of genes annotated in term t, N is the total number of genes in the whole human genome [3,4].As GO is a hierarchical structure, IC value has to increase as we descend the hierarchy.
The FC score between two target genes, g1 and g2 , was defined as the IC value of the most informative commonly annotated GO term [3,5]:
Here, T(g1,g2) denotes the set of all common GO terms that g1 and g2 annotated.
The FC score between a candidate target g and a group of N experimentally validated targets G was defined as follows:
Network closeness (NC) score of two target genes g1 and g2 was defined as reciprocal of shortest distance (DIS) between gene products nodes on network using Dijkstra¡¯s algorithm:
The NC score between a candidate target g and a group of N experimentally validated targets G was defined as follows:
- Multiple data rank fusion
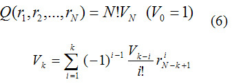
We combined rankings from separate data sources using the following Q statistic formula, which was implemented and used in a previous multiple rank fusion study [6]:
The variable ri is the rank ratio for data source i , N is the number of data sources used, and r0 = 0. The time complexity of this formula is o(N2).
- The work flow
mirTarPri contained a three-step analysis. The first step (upper area) assigns experimentally validated targets and candidate targets of each miRNA to a single branch of GO. For a candidate target, the FC score is calculated between this candidate and experimentally validated group by equation 3. The candidate target list is ranked according to FC score.
In the second step (middle area), we use a similar strategy as in the first step. Experimentally validated targets and candidate targets of each miRNA are assigned to the PPI network. mirTarPri then calculate NC score using equation 5 for each candidate and rank them accordingly.
In the third step (lower area), for each candidate target: two rankings based on FC score and NC score are combined into a single ranking using the Q statistic method. For each rank, the Q statistic method provides an integrated score. This ranking provides an overall prioritisation for each candidate gene list.
- References
1. Joung, J.G., Hwang, K.B., Nam, J.W., Kim, S.J. and Zhang, B.T. (2007) Discovery of microRNA-mRNA modules via population-based probabilistic learning. Bioinformatics, 23, 1141-1147.
2. Wang, J.Z., Du, Z., Payattakool, R., Yu, P.S. and Chen, C.F. (2007) A new method to measure the semantic similarity of GO terms. Bioinformatics, 23, 1274-1281.
3. Frohlich, H., Speer, N., Poustka, A. and Beissbarth, T. (2007) GOSim--an R-package for computation of information theoretic GO similarities between terms and gene products. BMC Bioinformatics, 8, 166.
4. Couto, F., Silva, M. and Coutinho, P. University of Lisbon: Department of Informatics; 2003. Implementation of a functional semantic similarity measure between gene-products.
5. Pesquita, C., Faria, D., Falcao, A.O., Lord, P. and Couto, F.M. (2009) Semantic similarity in biomedical ontologies. PLoS Comput Biol, 5, e1000443.
6. Aerts, S., Lambrechts, D., Maity, S., Van Loo, P., Coessens, B., De Smet, F., Tranchevent, L.C., De Moor, B., Marynen, P., Hassan, B. et al. (2006) Gene prioritization through genomic data fusion. Nat Biotechnol, 24, 537-544.
Applications and results of mirTarPri
- Prioritise candidate miRNA target list
Candidtaed gene list is queried by supplying either gene symbol or Entrez ID, using a comma-delimited data format. For the given query, mirTarPri provides three branches of Gene Ontology and Six human protein-protein networks as functinal dataset to use.
- Query mirTarPri prioritized miRNA target prediction databases
mirTarPri prioritize five currently popular miRNA target prediction databases, full lists of prioritized results available.
- Results
All results of mirTarPri are shown in web table format.