Documents

1. Overview

Welcome to LncRNA Ontology v2.0! Here is a step to step introduction about how to use the database. The advent of large-scale sequencing has resulted in identifying thousands of long non-coding RNAs (lncRNAs) that potentially play critical roles of diverse cellular processes. Determining the biologic function of individual lncRNAs has been poorly understood. Although a considerable portion of genomes is transcribed as lncRNAs, the vast majority are functionally uncharacterized. Genetic loss-of-function strategies can be used to study the function of lncRNAs in vivo, however, it is time-consuming and expensive. Alternatively, the rule of 'association of guilty' is widely used to identify the protein-coding genes that are associated with lncRNAs, and these genes are further used to predict lncRNA functions. We describe the LncRNA Ontology database version 2.0 (LO v.2.0), an updated database that specifically stored and annotated the functional ontology of human long non-coding RNAs (lncRNAs), and their associated genes. This database integrated genome, transcriptome, epigenome (including DNA methylation and nine kinds of histone modifications), and regulatome at both transcription and post-transcription level. The majority of lncRNAs were annotated with one or more GO nodes in each of the tree GO categories. LO v2.0 documents totally 22,803,010 associations among 87,614 lncRNAs and 14848 GO annotations in human. LO v2.0 will be of help in uncovering the lncRNA biological roles in human.

New features:

1). The number of lncRNAs were greatly increased (including 87,614) and the annotation information of lncRNAs were further layout in the form of text and graphical display.

2). The function information were also expanded, including 9,942 biological processes, 3,644 molecular functions, and 1,262 cellular components. Moreover, the predicted lncRNA-function pairs increase 5.5 times compared with the first version.

3). Besides the predicted functions of lncRNAs, we also provided the protein coding genes that are associated with each lncRNA. The users can query and download the associated genes identified based individual omics data and the integrated gene lists identified from integration of multiple omics datasets.

4). Three additional types of omics data were integrated in the updated version, including the genome-wide lncRNA-gene interaction pairs identified based on genome, regulatome at the transcription and post-transcription levels. There are additional 2,175,095 lncRNA-gene interactions identified by integration of transcriptional regulation from ~10,200 curated ChIP-seq datasets and miRNA regulation from 117 CLIP-seq datasets. This increased the types of omics data from two to five.

5). We updated the transcriptome data from ENCODE to the Genotype-Tissue Expression (GTEx) project, increased the number of samples to 8,555 across 30 tissues.

2. Lnc-ANN

Lnc-Ann is assemble of lncRNA annotation, including chromosomal localization, exon, intron, transcript information and so on, which are also displayed based on the visualization method. The current release of LncMod mainly contains about 65,117 lncRNAs. Users can input lncRNA gene or lncRNA you want to query to view the lncRNA annotation.

Furthermore, you can find more detailed information through clicking any lncRNA gene or lncRNA.

3. Lnc-Gene

Lnc-genes is a convenient searching for obtaining the gene list associated with an interesting lncRNAs based on individual omic infromation or their integrated results.

4. Lnc-Ontology

Linc-Ontology provides the predicted functions based on their associated genes detected at each omics level or the integration ( < 0.05 and > 0.05).

5. Identification of lncRNA functions based on combining multiple 'Omics' data and sequence features

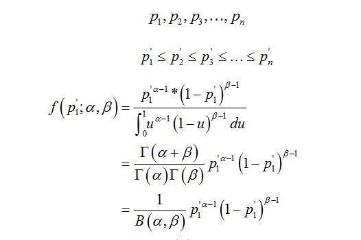
Although lncRNAs have been recognized as a critical component in organisms, the functions of a limited number of lncRNAs have been well-characterized. Increasing evidence has confirmed that lncRNA can participate in regulating chromatin states, transcription and post-transcription, and protein activity acting through interacting with DNA, RNA and proteins. To more comprehensively characterize naturally functions of lncRNAs, we obtained consensus results by integrating five predictors. The consensus is calculated to:

where is the gamma function and is beta function. In the above equations is the minimum possibility of lncRNA involved in specific GO function from five predictors, and are two shape parameters. Here, we set equal to 1 and equal to n.


Copyright ©College of Bioinformatics | Harbin Medical University @ 194 Xuefu Road, Harbin 150081, China
This work was supported by the National High Technology Research and Development Program of China [863 Program, Grant No. 2014AA021102], the National Program on Key Basic Research Project [973 Program, Grant No. 2014CB910504], the National Natural Science Foundation of China [Grant Nos. 91129710, 61170154 and 61203264], the China Postdoctoral Science Foundation [Grant No. 2012M520764 and 2014T70364], and the Innovation Research Fund for Graduate Students of Harbin Medical University [Grant No. YJSCX2014-22HYD].
We highly recommend Google Chrome Browser to have a better experience on LncRNA Ontology.